合作客戶/
拜耳公司 |
同濟大學 |
聯合大學 |
美國保潔 |
美國強生 |
瑞士羅氏 |
相關新聞Info
-
> ?氧化石墨烯基復合膜材料的制備方法、應用開發及前景
> 水浸提提取肥皂莢皂苷水溶液最低表面張力及影響因素分析——摘要、材料與方法
> 燒結礦致密化行為研究:不同堿度條件下熔體的表面張力、表觀黏度值(三)
> 利用LB膜分析儀技術制備納米環組裝陣列,得到一種具有結構色的材料
> 基于孔溶液表面張力和黏度測試揭示增稠劑對流變參數和氣泡結構的影響機制(一)
> 多功能膜材研發:界面張力已成為整套工藝鏈協同下動態演化的核心控制點
> 納米熔鹽形成機理、表面張力測定及影響因素研究(一)
> 氣凝膠的合成方法及干燥方法一覽
> 表面張力估算法測定29種常見低芳淺色礦物油的溶解度參數——實驗部分
> 生物表面活性劑產生菌的篩選及對PAHs污染環境的修復效果研究(三)
推薦新聞Info
-
> 高鹽低滲油藏中超低界面張力表面活性劑多段塞調驅機理與應用效果(三)
> 高鹽低滲油藏中超低界面張力表面活性劑多段塞調驅機理與應用效果(二)
> 高鹽低滲油藏中超低界面張力表面活性劑多段塞調驅機理與應用效果(一)
> 鈉鉀離子濃度對礦井水和純水表面張力、噴霧霧化特性的影響(三)
> 鈉鉀離子濃度對礦井水和純水表面張力、噴霧霧化特性的影響(二)
> 鈉鉀離子濃度對礦井水和純水表面張力、噴霧霧化特性的影響(一)
> Layzer模型與Zufiria模型研究界面張力對Rayleigh-Taylor氣泡不穩定性的影響
> 深過冷Ni-15%Sn合金熔體表面張力的實驗研究與應用前景
> ?表面張力在微孔曝氣法制備微氣泡中的核心作用——基于實驗研究的深度解析
> 十二胺功能化石墨烯量子點的制備、表面張力及對L-薄荷醇的緩釋作用(三)
無機粒子對TPAE界面張力、發泡、抗收縮行為的影響(三)
來源:《北京化工大學學報(自然科學版)》 瀏覽 1058 次 發布時間:2024-11-14
2、結果與討論
2.1 TPAE/無機粒子復合物的相形態
TPAE/無機粒子復合物的微觀結構特性主要由無機粒子在基體中的分散性決定,為了評估不同無機粒子在TPAE基體中的均勻分散程度及其與TPAE的相容性,通過SEM表征了不同TPAE/無機粒子復合物的斷面形態,如圖2所示。可以觀察到,純TPAE呈現出光滑平坦的斷面形貌;而在Talc加入的復合材料中,Talc以片層結構嵌入TPAE基體,顯示出較高的相容性,盡管其分布密度相對較低且在均勻性方面存在不足。
圖2 TPAE/無機粒子復合物表面形貌的SEM圖
對比之下,含有CaSiO3、CaCO3、WI無機粒子的TPAE復合材料展示出典型的兩相形態,這些粒子在TPAE基體中的均勻分散揭示了TPAE與這3種無機粒子之間在熱力學上的不相容性。值得注意的是,相比較于TPAE-2CaCO3和TPAE-2WI,TPAE-2CaSiO3復合材料的斷面形貌中的CaSiO3粒子表現出明顯的團聚現象,這可歸因于CaSiO3獨特的多孔蜂窩狀結構,使得在含量增加時,粒子間相互碰撞并傾向于結合,容易形成更大的聚集體,使得CaSiO3粒子尺寸顯著大于其他兩種無機粒子。
為深入評估4種無機粒子與TPAE之間的相容性,本研究采用界面張力儀、接觸角儀計算了4種無機粒子與TPAE之間的界面張力,以定量分析其相容性。如圖3所示,可以看出,Talc與TPAE之間的界面張力為0.82 mN/m,表明二者相互作用力較強,能夠更好地相互滲透和混合,反映出二者之間存在良好的相容性。
相比之下,CaSiO3與TPAE、WI與TPAE的界面張力分別達到8.72 mN/m和14.5 mN/m,大約為Talc的10~15倍,高界面張力通常導致物質間的相分離,表明CaSiO3和WI與TPAE之間存在明顯的不相容。而CaCO3與TPAE的界面張力雖低于CaSiO3和WI,但仍高于Talc,表明CaCO3與TPAE的相容性位于中間。
2.2 TPAE/無機粒子復合物的發泡行為
基于聚合物的熔體黏彈性和熔體強度在很大程度上受到溫度的影響,發泡溫度對發泡性能的影響顯著,在不同溫度下對不同TPAE/無機粒子復合物進行了發泡實驗,結果表明當溫度為185℃時,TPAE復合物泡沫具有最佳的泡孔結構,因此后續的分析討論也是基于這個溫度。通過SEM表征了185℃下不同粒子含量TPAE/無機粒子復合物泡沫的泡孔結構,結果如圖4所示,圖5則展示了不同TPAE/無機粒子復合物泡沫的泡孔直徑與密度。結果表明,純TPAE泡沫呈現出明顯的泡孔坍塌合并現象,4種無機粒子的添加都明顯改善了TPAE泡沫泡孔的破裂情況,泡孔結構均勻,泡孔直徑明顯降低,泡孔密度大幅提升,這是由于4種無機粒子都起到了異相成核效應。
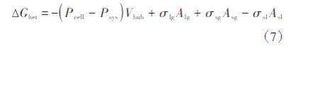
其中,相比較于Talc,CaCO3、CaSiO3、WI這3種無機粒子對于TPAE泡沫泡孔結構的改善效果更為顯著,具有更高的泡孔密度。這是因為根據異相成核理論公式(7)
圖3無機粒子與TPAE的界面張力
圖4 185℃下TPAE/無機粒子泡沫泡孔結構的SEM圖
圖5 TPAE/無機粒子復合物泡沫的泡孔直徑與密度
其中,Pcell是泡孔中的氣體壓力,Pa;Psys是周圍系統的壓力,Pa;A是表面積,m2;σ是界面張力,mN/m;l、g、s分別表示熔體、氣體和固體相。
在其他條件相近的情況下,泡孔成核的活化能壘?Ghet主要受聚合物和添加劑之間的界面張力σsl影響。與Talc相比,這3種無機粒子與TPAE具有更高的界面張力,導致兩相界面處的成核能壘降低。
此外,CO2傾向于聚集在不相容的兩相界面處,其濃度的增加會進一步降低界面處的泡孔成核能壘,加速異相成核速率,促進泡孔的形成。其中TPAE/WI復合物泡沫由于具有最高的界面張力而展現出最高的泡孔成核數。
2.3 TPAE/無機粒子復合物泡沫的開孔機制
根據TPAE/無機粒子復合物泡沫的泡孔結構圖可以看出,相比較于純TPAE泡沫的閉孔結構,無機粒子的添加明顯促進了TPAE泡沫泡孔的打開。為詳細探究無機粒子的開孔機制,使用真密度儀對不同TPAE/無機粒子復合物泡沫的開孔率進行了測試,如圖6所示。無機粒子的添加都提高了TPAE泡沫的開孔率,表明無機粒子的加入是影響開孔率的關鍵因素。基于TPAE和TPAE/CaSiO3復合物泡沫中的開孔結構分析無機粒子對復合物泡沫開孔結構的影響(以CaSiO3為例),如圖7所示??梢钥闯?,純TPAE泡沫主要出現泡孔壁上,且形成的孔比較規則,這是由于純TPAE熔體強度低,泡孔壁容易破裂。而TPAE/CaSiO3復合物泡沫的開孔主要發生在泡孔的內壁以及幾個泡孔的相交處上,這是因為在泡孔生長過程中,由于CaSiO3的非均相成核,泡孔在CaSiO3分散相周圍成核生長,形成花狀的泡孔結構,而TPAE與無機粒子的相容性差,使得CaSiO3從泡孔壁上脫落,留下不規則的網狀結構,從而導致泡孔間相互連接。其他3種TPAE/無機粒子復合物泡沫的開孔形式同TPAE/CaSiO3復合物泡沫一致。圖8展示了兩種與TPAE具有不同界面張力的粒子(以CaSiO3和Talc為例)的添加對復合物泡沫開孔結構形成的影響機制。
圖6 TPAE/無機粒子復合物泡沫的開孔率
圖7 TPAE泡沫的典型開孔結構
圖8 TPAE/無機粒子復合物泡沫開孔結構的形成示意圖





