合作客戶/
拜耳公司 |
同濟大學 |
聯合大學 |
美國保潔 |
美國強生 |
瑞士羅氏 |
相關新聞Info
-
> ?氧化石墨烯基復合膜材料的制備方法、應用開發及前景
> 水浸提提取肥皂莢皂苷水溶液最低表面張力及影響因素分析——摘要、材料與方法
> 燒結礦致密化行為研究:不同堿度條件下熔體的表面張力、表觀黏度值(三)
> 利用LB膜分析儀技術制備納米環組裝陣列,得到一種具有結構色的材料
> 基于孔溶液表面張力和黏度測試揭示增稠劑對流變參數和氣泡結構的影響機制(一)
> 多功能膜材研發:界面張力已成為整套工藝鏈協同下動態演化的核心控制點
> 納米熔鹽形成機理、表面張力測定及影響因素研究(一)
> 氣凝膠的合成方法及干燥方法一覽
> 表面張力估算法測定29種常見低芳淺色礦物油的溶解度參數——實驗部分
> 生物表面活性劑產生菌的篩選及對PAHs污染環境的修復效果研究(三)
推薦新聞Info
-
> 高鹽低滲油藏中超低界面張力表面活性劑多段塞調驅機理與應用效果(三)
> 高鹽低滲油藏中超低界面張力表面活性劑多段塞調驅機理與應用效果(二)
> 高鹽低滲油藏中超低界面張力表面活性劑多段塞調驅機理與應用效果(一)
> 鈉鉀離子濃度對礦井水和純水表面張力、噴霧霧化特性的影響(三)
> 鈉鉀離子濃度對礦井水和純水表面張力、噴霧霧化特性的影響(二)
> 鈉鉀離子濃度對礦井水和純水表面張力、噴霧霧化特性的影響(一)
> Layzer模型與Zufiria模型研究界面張力對Rayleigh-Taylor氣泡不穩定性的影響
> 深過冷Ni-15%Sn合金熔體表面張力的實驗研究與應用前景
> ?表面張力在微孔曝氣法制備微氣泡中的核心作用——基于實驗研究的深度解析
> 十二胺功能化石墨烯量子點的制備、表面張力及對L-薄荷醇的緩釋作用(三)
拉筒法和靜滴法測定連鑄結晶器保護渣表面張力(二)
來源:當代化工研究 瀏覽 1211 次 發布時間:2024-09-25
3.靜滴法表面張力測定
(1)靜滴法測定高溫熔體表面張力
靜滴法是根據在水平墊片上自然形成的液滴形狀(如圖2所示)以及Young-Laplace方程來計算表面張力,式(2)即為靜滴法根據液滴外形計算表面張力的基本方程:
式中,ρl,ρg—液相和氣相的密度;z—以液滴頂點O為原點時液滴表面上任意一點Q的垂直坐標;x—以O點為原點的液滴表面上Q點的水平坐標;R1—液滴曲面Q點處的曲率半徑;R0—液滴頂點O處的曲率半徑;φ—Q點處的曲率半徑與z坐標軸之間的夾角。
運用靜滴法的基本方程獲取高溫熔體表面張力的過程如下:通過高溫實驗獲取熔體液滴輪廓的幾何圖形;利用圖像處理技術將高溫實驗獲取的液滴輪廓圖形進行處理和提取,如圖3(a)所示,得到一組離散的實驗數據;依據靜滴法基本方程式(2),利用提取的液滴輪廓圖形實驗數據建立一個連續的液滴邊緣輪廓曲線函數;采用曲線擬合方法使得曲線方程能夠在最大程度上與實驗數據相吻合,獲得一條最接近實驗數據的理想曲線,如圖3(b)所示,并通過此理想曲線方程求得表面張力值。
(2)高溫熔渣表面張力測定
在采用靜滴法測定表面張力前,需制備預熔渣。所需試劑同上節中拉筒法測定表面張力實驗一致,即分析純試劑CaO、SiO2、Na2CO3和CaF2。將稱量好的化學試劑放入高純石墨坩堝內,并放入高溫淬火爐恒溫區域中;操作溫度控制程序進行升溫,為保證上節中拉筒法表面張力測定過程中保護渣成分與該實驗所制備的保護渣成分一致,該實驗升溫速率與拉筒法測定表面張力的升溫速率一致,即為5℃·min-1,升溫至設定溫度同樣保溫1h,使渣樣充分熔化;待實驗渣完全熔化后,使渣樣迅速墜入冰水混合物中淬冷,干燥并研磨至74μm以下。
該實驗需借助高溫熔體界面性質測定儀,該測量儀主要由液滴圖像拍攝系統(包含高速相機,其安裝在高溫爐爐管的一端,以便觀察和拍攝熔體的整個熔化過程)、高溫爐和控溫系統(在高溫爐中剛玉爐管外部和內部基板底下均安裝了B型熱電偶,其精度在±1℃)以及氣體凈化系統(防止熔體和基板被氧化)所組成。
實驗渣表面張力測定的實驗過程如下:將預熔渣壓成直徑4mm×高10mm的圓柱體;將圓柱體試樣放在高純石墨基板(質量分數為99.99%)上,然后將基板放在水平試樣支架上;在冷態下將試樣支架放入爐膛的恒溫區內;為了保持液滴形狀的規則性和對稱性,調整石墨基板的水平度,以保證其上沿表面在水平線上;封閉爐管;抽真空,待爐內真空度在10~2Pa以下時向爐內通入高純氬氣;以5℃·min-1升溫速率升至設定溫度然后保溫0.5h;在從試樣開始熔化至保溫時間結束整個過程中,采用高速相機對樣品輪廓的變化進行拍攝,并對樣品輪廓圖片進行圖片數據處理;運用表面張力計算程序對實驗渣表面張力進行計算。熔渣實驗結果如圖1所示。
4.結果與討論
在本實驗中,對于CaO-SiO2-Na2O-CaF2渣,采用拉筒法和靜滴法分別測得的表面張力結果如圖1所示。從圖中可看出,無論采用靜滴法還是拉筒法,測定的熔渣表面張力數值均隨著溫度的升高而下降。熔渣表面張力隨溫度上升而下降這一變化趨勢在Vaisburd、Oliveira和Dudek等對CaO-Al2O3-SiO2、CaO-Al2O3和精煉渣表面張力的研究中也有體現。根據愛因斯坦方程,如式(3)所示,升高溫度可使平均位移x-增加,即分子的無規則熱運動就越劇烈,致使分子間距離變大。分子間距離增大,分子間相互作用力隨之減小,進而熔體表面張力減小。
分別將拉筒法和靜滴法測得的結晶器保護渣表面張力數據進行線性擬合可得:
另外,從圖1還可看出采用靜滴法測得的表面張力數值明顯高于拉筒法測得的表面張力數值。將預熔渣和靜滴法測定后的樣品分別進行X-射線熒光光譜分析(XRF),結果如表2所示。從表中可看出,靜滴法測定后的樣品中Na2O和CaF2的含量明顯低于預熔渣。這是由于Na2O和CaF2均是易揮發成分,兩者生成的NaF(即反應方程Na2O+CaF2=CaO+2NaF)亦是易揮發成分,由此造成靜滴法測定保護渣表面張力過程中Na2O、CaF2和NaF的再次揮發,熔渣化學成分的二次變化導致熔渣表面張力的變化。
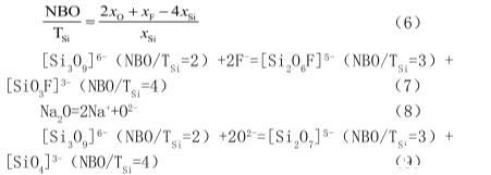
熔體表面張力與熔渣結構的聚合程度密切相關。連鑄結晶器保護渣屬于硅酸鹽,硅酸鹽熔體中含有不同聚合程度的硅氧陰離子團。熔渣結構的聚合程度用符號“NBO/TSi”表示,其計算公式如式(4)所示。NBO/TSi值越小,說明熔體聚合程度越高。將預熔渣和靜滴法測定后的渣樣成分分別帶入到式(6)中,計算結果如表2所示。從表中可以看出,靜滴法測定后渣樣的NBO/TSi值小于預熔渣的NBO/TSi值,說明靜滴法測定后的渣樣熔體結構聚合程度高于預熔渣熔體結構聚合程度。這是由于F-能降低熔渣結構的聚合程度,將高聚合程度的硅氧陰離子團逐漸解聚成低聚合程度的硅氧陰離子,同時Na2O電解出O2-,O2-的出現亦可降低熔體的聚合程度,反應式見(7)~(9):
表2 CaO-SiO2-Na2O-CaF2熔渣組成(質量分數/%)
從熔渣離子結構理論分析認為:Na2O和CaF2能降低保護渣熔體結構的聚合程度,因此F-和Na+均是變網離子。Sukenaga等認為變網離子的靜電勢越大,熔渣表面張力越大。F-和Na+的靜電勢小于O2-的靜電勢,靜電勢較小的F-和Na+被排斥到熔渣表面,使得熔渣單位表面上的質點數增加,從而降低了熔渣的表面張力。因此在靜滴法測定表面張力的過程中,F-和Na+的二次揮發,使得靜滴法測定后的渣樣表面張力明顯高于拉筒法測得的表面張力數值。
從實驗操作上看,采用拉筒法獲取表面張力,不需要熔體密度值,不需要預熔實驗,但是在測定的過程中無法保證氣氛的無氧化,因此不宜用拉筒法測定易氧化熔體的表面張力。靜滴法雖所需試樣較少,不需用標準物質校正,并且氣氛可控,但需保證預熔樣品成分穩定。
5.結論
本文參照工業生產用連鑄結晶器保護渣的組成和成分,選擇了CaO-SiO2-Na2O-CaF2渣(CaO/SiO2質量分數比為1.0,Na2O和CaF2的質量分數分別為15%和20%)為考察對象,分別采用拉筒法和靜滴法測定了1350℃、1370℃、1390℃和1410℃下CaO-SiO2-Na2O-CaF2保護渣的表面張力。實驗結果發現拉筒法和靜滴法測定的熔渣表面張力隨溫度的演變行為一致,均隨著溫度的升高而下降;同一溫度下采用靜滴法測得的表面張力數值高于拉筒法測得的表面張力數值,這是由于CaO-SiO2-Na2O-CaF2渣中含有揮發成分Na2O和CaF2,靜滴法測定表面張力過程中Na2O和CaF2的二次揮發使得表面張力數值升高。





